• 香蕉视频一区二区,大香蕉手机在线视频,久久大香蕉久久,香蕉免费视频APP

    行业新闻

    凸缘类零件专用淬火大香蕉手机在线视频器及配用尺寸确定方法

    传动轴凸缘的使用,可以加强传动轴的强度,另外利用其产生的振动,凸缘位置和大小,平衡活塞的振动,其工作过程中需要承受巨大的摩擦力,因此凸缘端面和外圆面需要较高的硬度、耐磨性和使用寿命。

    问题的提出

    本文以某汽车凸缘轴为例,针对其技术要求及淬火过程中存在的问题进行分析研究,提出一种凸缘类零件专用淬火大香蕉手机在线视频器及配用尺寸确定方法。

    1. 凸缘零件结构

    凸缘零件结构如图1所示,其工作过程中外圆面和端面要承受较大的摩擦力,要求有较高的硬度和耐磨性,故此零件外圆面和端面需要进行淬火处理;该零件需淬火区域基本尺寸为:外圆直径(φ1)为62mm,端面内径(φ2)为44mm,淬火外圆区域高度(H)为24mm。

    2. 零件的技术要求

    为提高凸缘外圆面和端面的硬度、耐磨性,设计要求该零件在台阶、外圆面、倒角、端面位置进行高频淬火处理,要求淬火区硬度50~55HRC,硬化层深1.0~2.0mm,淬火层要求均匀连续;对于端面的淬硬区,由于端面内孔处为花键,为避免花键淬火裂纹,要求端面径向硬化区域为4~5mm。

    3. 零件大香蕉手机在线视频淬火难点

    大香蕉手机在线视频淬火具有节能、效率高等诸多优点,但对于本文所述凸缘零件,在对其进行大香蕉手机在线视频淬火处理存在以下问题:

    (1)尖角效应难以避免

    在实施大香蕉手机在线视频淬火时,凸缘外圆和端面之间倒角形成的外圆棱边、端面棱边,易出现尖角效应,尖角处的电流易出现密集,产生过热或过烧现象,甚至产生淬火裂纹。

    (2)大香蕉手机在线视频距离难以控制

    在实际大香蕉手机在线视频淬火时,凸缘外圆和端面之间倒角所形成斜面的大香蕉手机在线视频距离不易控制,影响倒角处的淬火效果,而且影响淬火区域的淬火均匀性。

    淬火大香蕉手机在线视频器的结构设计

    1. 技术方案

    该凸缘类零件专用淬火大香蕉手机在线视频器如图2所示,包括大香蕉手机在线视频器基体组件1、有效圈组件2、喷水圈组件3;三组件均为组焊件,其上的所有焊缝均为连续焊缝,焊后应将毛刺清理干净,并用0.6MPa压力水进行试验,不得有渗漏等缺陷;大香蕉手机在线视频器基体组件和有效圈组件通过焊接连接,喷水圈组件由螺栓联接安装在大香蕉手机在线视频器基体上。

     

    凸缘类零件专用淬火大香蕉手机在线视频器及配用尺寸确定方法(图1)

     

    图2 凸缘大香蕉手机在线视频器示意

    1. 大香蕉手机在线视频器基体2. 有效圈3. 喷水圈

    大香蕉手机在线视频器基体组件如图3所示,包括接触板1、导电板2、冷却水管接头3、冷却水盒4、喷水圈安装耳板5。接触板和导电板相互垂直布置焊接连接,水盒焊接在导电板上,水盒上开孔后焊接管接头,喷水圈安装耳板垂直焊接在导电板上。基体组件为左右对称结构,两导电板中间布置绝缘垫板后通过螺栓联接固定。大香蕉手机在线视频圈组件为分段式结构(见图3),包括上大香蕉手机在线视频圈6、过渡管7、下大香蕉手机在线视频圈8。大香蕉手机在线视频圈组件由方管制成,上下大香蕉手机在线视频圈均为一端圆弧,过渡管为一段螺旋上升的方管,两端设置有接口,将上下大香蕉手机在线视频圈连接焊接后制成。

    喷水圈组件(见图3)包括固定板9、螺柱10、喷水圈11,固定板通过螺栓联接安装在大香蕉手机在线视频器基体上,再通过螺柱将喷水圈安装在固定板上。

     

    凸缘类零件专用淬火大香蕉手机在线视频器及配用尺寸确定方法(图2)

     

    图3 大香蕉手机在线视频器结构

    1. 接触板 2. 导电板 3. 冷却水管接头 4. 冷却水盒 5. 喷水圈安装耳板 6. 上大香蕉手机在线视频圈

    7.过渡管 8. 下大香蕉手机在线视频圈 9. 固定板 10. 螺柱 11. 喷水圈

    2. 配用尺寸确定方法

    专用淬火大香蕉手机在线视频器的配用尺寸包括下大香蕉手机在线视频圈内径φ1'、上大香蕉手机在线视频圈内径φ2'和大香蕉手机在线视频圈高度H'的尺寸,如图4所示,其配用尺寸确定的具体方法如下。

     

    凸缘类零件专用淬火大香蕉手机在线视频器及配用尺寸确定方法(图3)

     

    凸缘类零件专用淬火大香蕉手机在线视频器及配用尺寸确定方法(图4)

     

    图4 配用尺寸

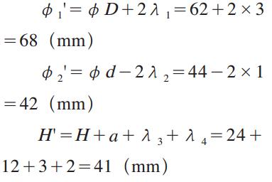
    (1)下大香蕉手机在线视频圈内径φ1'配用

    尺寸确定 该尺寸依据需要实施大香蕉手机在线视频淬火的凸缘外圆直径φD和按照大香蕉手机在线视频淬火工艺要求的外圆大香蕉手机在线视频间距λ1尺寸予以确定,即下大香蕉手机在线视频圈内径φ1'配用尺寸,应按照以下公式予以确定

     

    φ1'=φD+2λ1

    (2)上大香蕉手机在线视频圈内径φ2'配用尺寸确定

    该尺寸依据需要实施的大香蕉手机在线视频淬火的凸缘零件端面上内孔直径φd的尺寸和按照大香蕉手机在线视频淬火工艺要求的内径大香蕉手机在线视频间距λ2尺寸予以确定,即上大香蕉手机在线视频圈内径φ2'配用尺寸,应按照以下公式予以确定

    φ2'=φd-2λ2

    (3)大香蕉手机在线视频圈高度H'配用尺

    寸确定 该尺寸依据需要实施大香蕉手机在线视频淬火的凸缘外圆高度H的尺寸,以及采用的大香蕉手机在线视频圈方管高度a、按照大香蕉手机在线视频淬火工艺要求的凸缘端面距大香蕉手机在线视频圈的间距λ3和凸缘外圆底部距大香蕉手机在线视频圈竖直间距λ4予以确定,即大香蕉手机在线视频圈高度H'配用尺寸,应按照以下公式予以确定

    H'=H +a +λ3+λ4

    本文所述的凸缘零件的外圆直径φD为62mm,内孔直径φd为44mm,凸缘外圆高度H为24mm。

    依据大香蕉手机在线视频淬火工艺要求,凸缘外圆到下大香蕉手机在线视频圈之间间距λ1为3mm,凸缘端面上的内孔直径距上大香蕉手机在线视频圈内径间距λ2为1mm,需大香蕉手机在线视频淬火凸缘端面距大香蕉手机在线视频圈间距λ3为3mm,凸缘外圆底部距大香蕉手机在线视频圈竖直间距λ4为2mm,大香蕉手机在线视频圈方管高度a为12mm。

    依据上述情况,确定所使用淬火大香蕉手机在线视频器的配用尺寸如下:

     

    凸缘类零件专用淬火大香蕉手机在线视频器及配用尺寸确定方法(图5)

     

    3. 大香蕉手机在线视频淬火工艺试验结果

    试验件按照要求工艺,并使用按上述方式设计及制作的大香蕉手机在线视频器进行大香蕉手机在线视频热处理后,经过磁粉探伤后未发现裂纹等缺陷,对完成淬火工作的凸缘零件进行了硬度、金相检测,结果全部符合要求,其中淬火区硬化深度情况如图5所示。

     

    凸缘类零件专用淬火大香蕉手机在线视频器及配用尺寸确定方法(图6)

     

    图5 淬火区硬化深度检验结果

    上述结果表明,本文所述的“凸缘类零件专用淬火大香蕉手机在线视频器及配用尺寸确定方法”,可以满足其对淬火工艺的要求,且收到了良好的效果。

    试验结果分析

    (1)淬火生产效率提升

    该淬火大香蕉手机在线视频器通过采用分段式的大香蕉手机在线视频圈设计,可同时加热凸缘零件端面、外圆面,使得凸缘可以一次完成淬火工作,提升了大香蕉手机在线视频加热效率。

    (2)淬硬层连续

    该大香蕉手机在线视频器通过采用配用尺寸确定方法,解决了淬火大香蕉手机在线视频器与零件配用尺寸的问题,保证了零件各个要求淬火位置加热均匀,使淬硬层均匀连续。

    结语

    凸缘零件端面与外圆面之间存在倒角、棱边,是该大香蕉手机在线视频器的设计难点,为实现其淬火要求,淬火大香蕉手机在线视频器的设计及配用尺寸的确定采用以下措施:

    (1)在有效圈的设计方面,采用矩形管制作大香蕉手机在线视频器有效圈,设计为分段式结构,实现同时加热外圆面和端面。

    (2)通过配用尺寸确定的方法,确定有效圈各尺寸,有效地保证了零件的淬火质量,收到了良好的淬火效果。

    (3)该淬火大香蕉手机在线视频器,构思新颖,结构合理,应用可靠,且配用方法简单可行,易于实施,具有很好的实用价值。

    单位:洛阳法拉地大香蕉手机在线视频设备有限公司

    来源:《金属加工(热加工)》杂志
     

    |

    联系海瑞拓

    第一时间了解香蕉视频一区二区的新产品发布和最新的资讯文章。
    广东海瑞拓自动化有限公司是一家专注于高端工业装备研发、制造与销售的高新技术企业。公司扎根于制造业底蕴深厚的广东省,致力于为全球金属加工及制造业客户提供高效、精密、可靠的热处理自动化解决方案。公司拥有强...

    您有什么问题或要求吗?

    点击下面,香蕉视频一区二区很乐意提供帮助。 联系海瑞拓
    Copyright © 2025 广东海瑞拓自动化有限公司 版权所有    粤ICP备55060799号-1
    QQ在线咨询
    售前咨询
    13202670056
    售后服务
    0769-82893876
    网站地图